Hoy te
quiero contar…
OPERACIONES CON
POLINOMIOS
-Suma de polinomios:
Para sumar
dos polinomios se suman los coeficientes de los términos del mismo grado. Dados
los polinomios:
1º Ordenamos
los polinomios, si no lo están
2º
Escribimos la suma
3º Agrupamos
los monomios del mismo grado
4º Sumamos
los monomios semejantes
También
podemos sumar polinomios escribiendo uno debajo del otro, de forma que los
monomios semejantes queden en columnas y se puedan sumar
-Resta de polinomios:
Consiste en
sumar al minuendo el opuesto del sustraendo.
Dados los
polinomios
-Multiplicación de
polinomios:
Este tipo de
operaciones se puede llevar a cabo de dos formas distintas.
Dados los
polinomios
Opción 1
Se multiplica
cada monomio del primer polinomio por todos los elementos del segundo polinomio
Se suman los
monomios del mismo grado
Podemos observar
que al multiplicar dos polinomios obtenemos otro cuyo grado es la suma de los
grados de los polinomios que se multiplican
Opción 2
-División de polinomios
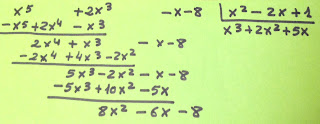
Voy a explicar
la división de polinomios basándome en un ejemplo
Voy a calcular:
Coloco el
dividendo a la izquierda. Si el polinomio no
es completo, dejo hueco en los lugares que correspondan
Escribo el
divisor dentro de una caja
Divido el
primer monomio del dividendo entre el primer monomio del divisor
Multiplico
cada término del polinomio divisor por el resultado anterior y lo resto del
polinomio dividendo
Vuelvo a
dividir el primer monomio del dividendo entre el primer monomio del divisor. El
resultado lo multiplico por el divisor y lo resto al dividendo
Vuelvo
a hacer lo mismo:
Repito las
mismas operaciones:
El resto es:
porque su
grado es menor que el del divisor y por eso no se puede seguir dividiendo.
El cociente
es:






















No hay comentarios:
Publicar un comentario