Hoy te
quiero contar…
MÉTODO DE GAUSS
Consiste en
transformar un sistema de ecuaciones en otro equivalente, de manera que al
tratarse de un método de reducción, en cada ecuación debemos tener una
incógnita menos que en la ecuación precedente.
Ejemplo:
Dado el
siguiente sistema de ecuaciones:
1º Ponemos
como primera
ecuación la que tenga como coeficientes de x: 1 ó -1, en caso de que
no fuera posible lo haremos con y o z, cambiando el orden de las incógnitas
2º Hacemos
reducción con la 1ª y 2ª ecuación para eliminar el término en x de la 2ª
ecuación. Después ponemos como segunda ecuación el resultado de la operación.
3º Hacemos lo mismo con las ecuaciones primera y
tercera, para eliminar el término en x
4º Tomamos las ecuaciones 2ª y 3ª, transformadas, para
hacer reducción y eliminar el término en y
5º Obtenemos el sistema equivalente
6º Encontramos las soluciones
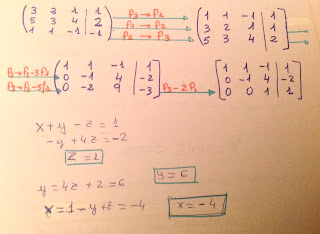
Ahora vamos
a calcular ese mismo sistema de ecuaciones, pero expresándolo en forma matricial,
en la que pondremos los coeficientes de las variables y los términos
independientes separados por una recta








No hay comentarios:
Publicar un comentario